黑龙江财经学院学生综合测评办法
为了全面贯彻党的教育方针,科学、准确、综合地评价学生,根据我校教育改革和学生教育管理的实际需要,建立有效的激励机制,培养德、智、体、美等方面全面发展的社会主义建设者和接班人,特制定本办法。
一、综合测评的目的
综合测评是对学生的教育、管理有机地结合在一起,通过适时测评,有利于良好班风、学风和校风的
形成,有利于基础道德文明建设,有利于增强成长意识和竞争意识,有利于评奖、评优与毕业生择业,有利于日常的管理教育。
二、综合测评的计算标准
每名学生综合测评成绩满分为100分,其中学习成绩为70分(按实际考试分数乘以0.7折算)、日常行为表现为30分。
综合测评每学期评估考核一次,在每学期期初进行,按年级及专业对学生进行全员排名。
三、综合测评的内容
(一)学习成绩测评
以学生每学期期末考试成绩为准。考核资料从教务科学生考试成绩单取得。
(二)日常行为表现测评
1.学生日常行为表现主要从政治思想、组织纪律、学习态度和能力、劳动和实践、基础文明、体育锻炼等方面进行评估和测评。学生日常行为表现采用二级评定的办法,二级评定中辅导员与班委、团支部成员共同完成评定成绩6分,学生民主评定成绩6分,总分12分。具体内容详见《黑龙江财经学院学生德育评分标准》。
2.学生加减分的总分为18分,其中基础分为12分,加减分均在基础分上加减,加减分最高不得超过18分,最低至0分。
3.学生日常行为表现实行记实方法。
(三)加分条件
1.荣获国家奖学金、国家励志奖学金、学校一、二、三等奖学金的,分别加2分、1.5分、1分、0.8分0.5分;
2.荣获国家、省、校级三好学生、优秀学生干部、优秀团干部、优秀团员、优秀共产党员荣誉称号的,分别加2分、1分、0.5分;
3.在寝室卫生检查中被评为文明寝室的寝室成员每人加0.5分。荣获学校年度文明寝室标兵的寝室成员每人加1分;
4.积极参加校系组织的大型活动,在活动中荣获一、二、三等奖的,加1.5分、1分、0.5分,其他参与者加0.3分;
5.在校级运动会中,破单项或集体项目记录的,一项一次加2分,进入前三名的分别加1.5分、1分、0.5分,进入名次的加0.3分;
6.在学校组织的各类体育比赛中荣获团体前三名的,每人分别加1.5分、1分、0.5分。
7.积极参加社会实践活动,取得校、系级表彰的分别加1分、0.5分;
8.校、系、班学团干部,根据工作表现分别加3分—0.5分;
9.积极参加校系组织的学团活动和各项主题教育活动,自觉践行社会主义核心价值观加2分-0分;
10.积极参加学校组织的各种劳动,根据在劳动中的表现加每次加0.5分-0.1分;
11.在救灾、抢险、同坏人坏事作斗争和助人为乐方面做出显著成绩,受到学校表彰并经学校审批后加3-1分;
12.通过国家公共外语六级考试的加2分,通过公共外语四级考试的加1分;通过专业外语八级的加2分,通过专业外语四级的加1分;
13.在校学习期间 ,在公开出版的学术刊物上发表论文的,加2分;
14.在其他方面没有列出的项目中做出重大贡献的,参照相关项目进行加分;
15.以上加分如有重复,取最高分,不兼得。
(四)减分条件
1.在学校寝室卫生检查中不合格的,寝室成员每人每次减0.3分;在各系寝室卫生检查中不合格的,寝室成员每人每次减0.2分;
2.上课或教学等集体活动迟到、早退每次减0.2分;无故旷课每学时减0.3分;
3.无故未按时归寝的,每次减1.5分;
4.受到留校察看、记过、严重警告、警告、通报批评的,分别减6分、5分、4分、3分、0.5分;
5.同一项目重复减分以最高减分登记;
6.未列出的其他方面的减分参照相关项目进行减分。
(五)综合测评的民主监督
1.综合测评应坚持实事求是的原则,以事实为依据,严禁弄虚作假;对作假行为,一经查实,则严肃处理,并追究当事人责任;
2.综合测评要实行民主监督,广泛听取教师、学生意见,综合测评结果经学生本人签字确认后进行公示,无异议后上报,上报后不得再有任何改动。
四、综合测评计算公式
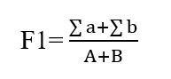
1.学习成绩F1

式中:
a=考试课程分数
b=考查课程分数
A=考试课程门数
B=考查课程门数
2.日常行为表现成绩F2
按照《黑龙江财经学院学生德育评分标准》进行考评的成绩。
F2=a+b+c
式中:a=辅导员与班委、团支部成员共同评定得分
b=学生评定得分
c=加减分
3.综合测评成绩F
F=0.7F1+F2
五、综合测评结果与学生管理
1.国家奖学金、国家励志奖学金、学校奖学金、三好学生、优秀学生干部的评定,将直接根据学生的综合测评总分,由高到低按比例选定;
2.综合测评结果结合书面鉴定装入学生档案。
六、本办法自2017年9月1日起实施,由黑龙江财经学院学生处负责解释。






